»¯Ñ§Ãû³Æ£º¾ÛNÒ»ÒÒõ£ÆÏÌÑÌǰ·
·Ö×Óʽ£º
·Ö×ÓÁ¿£º203¡¤n
CASºÅÂ룺1398-61-4
º£¹ØÉÌÆ·±àÂ룺29329990.99
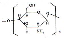
»¯Ñ§½á¹¹£º

ÐÔ×´£º
±¾Æ·Îª×¼°×É«,ÎÞ¶¨ÐΣ¬£¬°ë͸Ã÷¹ÌÌ壬£¬ÎÞº¦£¬£¬ÎÞ³ôÎÞÎÛȾ£¬£¬ÎÞÇÖÊ´£¬£¬²»¿Éȼ£¬£¬²»±¬£¬£¬ÄÜÈÜÓÚº¬8%ÂÈ»¯ï®µÄ¶þ¼×»ùÒÒõ£°·»òŨËᣬ£¬²»ÈÜÓÚË®¡¢Ï¡Ëá¡¢¼î¡¢ÒÒ´¼»òÆäËüÓлúÈܼÁ¡£¡£ÇкÏWTO(ÌìÏÂÉÌÒµ×éÖ¯) µÄ³ö¿Ú±ê×¼¡£¡£±¾²úÆ·ÊÇÌáȡϺ¡¢Ð·¿ÇµÄÏßÐθ߷Ö×Ó¶àÌÇ¡£¡£¿£¿£¿É×÷ʳÎïÌí¼Ó¼Á¡¢Ò½Ò©ÖÊÁÏ¡£¡£
ÓÃ;£º
¼×¿ÇËØ£¬£¬Ò»ÖÖÐÂÐÍÉú»¯Ò©Æ·£¬£¬¾ßÓнµÑªÖ¬£¬£¬½µÑªÑ¹£¬£¬½µÑªÌǵÄÌØÊâÉúÎ﹦Ч¡£¡£ÔÚ¹¤ÒµÉÏ¿É×ö·Ä֯Ʒ·Àùɱ¾ú³ý³ô¼Á¡£¡£Ò²¿ÉÓ¦ÓÃÓÚȾÁÏ¡¢Ö½ÕźÍË®´¦Öóͷ£µÈ¡£¡£ÔÚũҵÉÏ¿É×öɱ³æ¼Á¡¢Ö²Î²¡¶¾¼Á¡£¡£ÓæÒµÉÏ×öÑøÓãËÇÁÏ¡£¡£»£»¯×±Æ·ÃÀÈݼÁ¡¢Ã«·¢±£»£»¤¡¢±£Êª¼ÁµÈ¡£¡£Ò½ÁÆÓÃÆ·ÉÏ¿É×öÒþÐÎÑÛ¾µ¡¢È˹¤Æ¤·ô¡¢·ìºÏÏß¡¢È˹¤Í¸ÎöĤºÍÈ˹¤Ñª¹ÜµÈ¡£¡£
°ü×°£º
Ö½°åͰ(36cm x 36cm)ÄÚ³ÄÁ½²ã¾ÛÒÒÏ©±¡Ä¤ËÜÁÏ´ü£¬£¬»òƾ֤¿Í»§ÒªÇ󡣡£
Íâ¹Û³ß´ç£º 36cm x 36cm¾»ÖØ£º10.0kgs Ã«ÖØ£º11.8kgs ÿ20³ß¹ñ¿É×°5.4¶Ö¡£¡£
´¢ÔË£ºÖü±£´æ¸ÉÔï¡¢Çå½à,ºÍÒõÁ¹µÄµØ·½¡£¡£ÔËÊäʱÇá×°Çáж£¬£¬²»µÃÓëÓк¦¡¢Óж¾ºÍÒ×ÎÛȾÎïÆ·»ìÏý×°ÔË¡£¡£ÑϽûÁÜÓê¡£¡£
ÖÊÁ¿Ö¸±ê£º(²ÎÕÕUSP35)
ÆÊÎöÄÚÈÝ | ÖÊÁ¿±ê×¼-¹¤Òµ¼¶ | ÖÊÁ¿±ê×¼-ʳÎï¼¶ | ÖÊÁ¿±ê×¼-Ò½Ò©¼¶ |
Íâ¹Û | ×¼°×É«ÖÁ΢»ÆÉ«Ë¿×´Îï | ×¼°×É«ÖÁ΢»ÆÉ«Ë¿×´Îï | ×¼°×É«ÖÁ΢»ÆÉ«Ë¿×´Îï |
ÏûÈÚ¶È | ²»ÈÜÓÚË®£¬£¬Ï©ËáºÍÓлúÈܼÁ | ²»ÈÜÓÚË®£¬£¬Ï©ËáºÍÓлúÈܼÁ | ²»ÈÜÓÚË®£¬£¬Ï©ËáºÍÓлúÈܼÁ |
ÂѰ×ÖÊ | ¼ì²»³ö | ¼ì²»³ö | ¼ì²»³ö |
Ö¬·¾ | ¼ì²»³ö | ¼ì²»³ö | ¼ì²»³ö |
Ë®·Ý | ¡Ü12% | ¡Ü10% | ¡Ü10% |
»Ò·Ý | ¡Ü8% | ¡Ü2% | ¡Ü1% |
ÌúÑÎ | ¡Ü20ppm | ¡Ü20ppm | ¡Ü20ppm |
ÖØ½ðÊô | ¡Ü10ppm | ¡Ü10ppm | ¡Ü10ppm |
ÉéÑÎ | ¡Ü0.5ppm | ¡Ü0.5ppm | ¡Ü0.5ppm |
΢ÉúÎï×ÜÊý | ¡Ü10000CFU/g | ¡Ü1000CFU/g | ¡Ü1000CFU/g |
½Íĸ¡¢Ã¹¾ú | ¡Ü1000CFU/g | ¡Ü100CFU/g | ¡Ü100CFU/g |
´ó³¦¸Ë¾ú | ²»µÃ¼ì³ö | ²»µÃ¼ì³ö | ²»µÃ¼ì³ö |
ɳÃÅÊϾú | ²»µÃ¼ì³ö | ²»µÃ¼ì³ö | ²»µÃ¼ì³ö |